TNQ Drought Hub
James Cook University Australia
Search

TNQ Drought Hub Scholarships

The TNQ Drought Hub is encouraging and supporting honours students through scholarships (full time and top-up) to conduct regionally focused drought resilience projects that will build academic knowledge in the agricultural sector.

Acoustic recording as a novel monitoring method for Invasive Chital Deer (Axis axis)

Student: Jacopo Bartholomew
Academic Supervisor: Professor Lin Schwarzkopf

Research Questions/Objectives:

Our objective is to assess whether acoustic recorders are more effective than camera traps in monitoring the distribution and abundance of invasive Chital deer. Specifically we ask if Passive Acoustic Monitoring (PAM) can detect Chital deer at higher rates and provide accurate density estimates more cost-effectively and time-efficiently than camera traps?

Brief Description of the Project:

Over recent decades Chital deer (Axis axis) have gained recognition as a problem species threatening the health and sustainability of rangeland systems in tropical north Queensland, particularly during droughts. To manage and control the ongoing Chital deer invasion an effective and scalable monitoring regime is required.

Camera traps are currently used to monitor Chital, but they are limited by a restricted field of view, the need for manual image annotations, and the requirement to record continuously for 90 days to obtain an accurate density estimate. Passive Acoustic Monitoring (PAM) has emerged as a large scale monitoring technique for vocal vertebrates. PAM can detect sound coming from any direction and has proven to yield significantly higher detection rates compared to camera traps in other systems.

In this study, we will evaluate the superior monitoring ability of Passive Acoustics compared to camera traps by directly comparing their ability to detect Chital deer and estimate their density. We will also consider the time and costs associated with each method to determine which is more efficient and practical for large-scale monitoring.

Background and Significance of the Research Question to drought risk, vulnerability, preparedness, or resilience: 

Invasive vertebrates are a serious problem impacting human productivity, health, and biodiversity worldwide (Mack et al., 2000). To manage invasive species, it is critical to have methods of detecting their presence and abundance, so risk assessments and control can be implemented in a timely and cost-effective manner (Andersen et al., 2004). Presently, many vertebrates are monitored remotely using camera trap arrays (Burton et al., 2015). While cameras are effective, they have limited fields of view and require manual tagging of images of novel problem species, limiting their monitoring ability over large scales (Meek et al., 2015).

Recently, acoustic recording has emerged as a method used to detect and monitor vocal vertebrates. Sound can travel in all directions, potentially expanding the monitoring range for invasive species and enhancing detectability if the species is vocal (Vélez et al., 2024). Passive Acoustic Monitoring (PAM) is a rapidly emerging technique in which environmental sound is recorded for long periods, then analysed for the presence and rate of detection of vocal species (Blumstein et al., 2011).

In Australia, non-native deer have proliferated across rangeland ecosystems due to human-assisted releases and natural dispersal (Moriarty, 2004; Davis et al., 2023). Chital deer (Axis axis) were introduced to northern Queensland in the 1880s and have become a significant threat to rangeland productivity due to grazing competition with livestock, particularly during droughts when resources are scarce.

Additionally, they may serve as disease vectors, compounding threats to agricultural systems (Watter et al., 2020; Brennan & Pople, 2016). By improving detection and monitoring capabilities, PAM could support more efficient control of Chital deer, helping to protect rangeland resources and livestock productivity, especially during drought periods. Therefore, PAM could play a crucial role in safeguarding the resilience and sustainability of Australian rangelands.

Academic and research experience relevant to the honours project:

Field Survey Experience

I participated in vertebrate biodiversity surveys across 11 cattle stations in North Queensland, totaling 30 days of fieldwork over three separate trips: one south of Charters Towers and two trips to stations in the Einasleigh, Georgetown, Mount Surprise, and Normanton regions. Additionally, I worked as an ecological technician for Townsville City Council, assisting in monitoring and eradicating the invasive Yellow Crazy Ant. These experiences enhanced my communication skills with stakeholders and team members while preparing me to effectively address common challenges encountered during fieldwork. They also demonstrate my endurance and work ethic in hot, demanding conditions.

Research and Data Analysis Experience

I conducted a semester long research project under the supervision of Lin Schwarzkopf to detect and map the distribution of an invasive gecko across Christmas Island using a network of 89 acoustic recorders. Specifically, we used acoustic detection data to create an occupancy model with the programming language R to identify areas of likely occupancy and absence and to infer environmental variables that influence their distribution patterns. Also, I was employed as a GIS analyst to perform tasks and create maps in ArcGIS Pro for a project to inform government officials of priority areas of protection for threatened species on the Great Barrier Reef. This demonstrates my abilities to manage and manipulate complex data in geographic information systems and programming software in a timely and professional manner.

Academic Background

I received the 2023 Sir Joseph Banks Medal for showing strong interest and ability in ecology related subjects and achieving the highest overall result in level 2 and 3 subjects. Furthermore, I completed the most advanced statistical modelling classes offered to me in the Bachelor of Advanced Science degree at James Cook University.

Principal Supervisor’s skills and experience in relation to this project topic:

Passive Acoustic Monitoring

Distinguished Professor Lin Schwarzkopf is a leading expert in ecoacoustics and the application of passive acoustic monitoring (PAM) in ecological studies. Professor Schwarzkopf’s expertise is demonstrated by her role as a leading collaborator in the Australian Acoustic Observatory (A2O), a continental scale network of acoustic recorders to monitor Australia’s ecosystems, and by the many postgraduate students she supervised who successfully applied PAM in their projects.

Invasive Species

Professor Schwarzkopf has an extensive background in researching the ecology and impacts of invasive vertebrates in Australia. She has been instrumental in the research and management of the ongoing Cane Toad invasion, she has investigated the phenology of Chital deer, and she has conducted significant research on the invasive Asian House Gecko and Black Spined Toad.

Supervision Experience and Excellence

Most importantly, Professor Schwarzkopf’s skills as a supervisor are extraordinary. Apart from anecdotal observations from myself and all her students as an inspiring and supportive mentor, she has also been formally recognized with several prestigious awards. She received the Dean’s Award for Best Research Group, the Outstanding Achievement in Research Award, and was honored as a Distinguished Professor at James Cook University. These accolades reflect her dedication to advancing research excellence and her commitment to fostering the growth and success in her students.

About me

Hi, my name is Jacopo. I’m an Honours student at James Cook University, researching monitoring techniques to optimize the management of invasive Chital deer in North Queensland. I’ve been fascinated by the natural world from an early age, but when I first picked up a camera to document wildlife, my passion truly took off. I spent much of my free time trekking through the bush, photographing anything I found intriguing—which, at the time, was nearly everything I saw. But photography alone wasn’t enough; I wanted to understand what I was seeing, not just capture images of it.

After high school, I decided to leave home in the United States to study ecology in the unique environments of Australia. Throughout my degree, I gained a deeper appreciation for the role of environmental health in Australian industry and the diverse tools professional ecologists use to study, manage, and conserve biological systems.

My passion for fieldwork and remote monitoring, combined with a strong desire to make a meaningful impact, shaped my research focus on invasive species management. Invasive species pose the greatest threat to Australia’s biodiversity and ecosystem health, with their impacts intensifying during droughts. For this reason, I am committed to developing innovative solutions for managing invasive species and ensuring the long-term productivity and biodiversity of Australia’s ecosystems.

Future Career Goals:

I aim to pursue a career in ecological research and conservation in north Australia, specializing in Biosecurity. Ultimately, I want to make a meaningful contribution by developing practical, science-driven solutions that help mitigate the ecological and economic impacts of invasive species in Australia and beyond.

Milestone 1

A Sound Strategy: The Efficacy of Monitoring Invasive Chital deer (Axis axis) Using Acoustic Recorders

Overview
We compared the utility of camera traps and acoustic recorders to monitor invasive Chital deer in North Queensland rangeland systems. Specifically, we investigated the vocal activity patterns of Chital, the distance at which a call could be detected, and the performance of PAM relative to a contemporary camera-trapping approach. This study focuses on Chital, but we hope it guides future assessments and applications of PAM to monitor deer in Australia.

Figure 1. Map of monitoring grid with photos of the two habitat types we sampled, open pasture and Eucalypt / Acacia woodland.

We deployed two camera traps adjacent to a single acoustic recorder at 40 sites on April 15th, 2025 at Spyglass Beef research facility where Chital deer are abundant (Figure 1A). The monitoring grid lied withing open pasture, and Eucalypt and Acacia woodland (Figure 1B & 1C). Here we present data collected from mid-April to the end of July, 2025.

Key Finding 1
We successfully automated the classification of two calls produced by Chital deer, the ‘chirp’ call and the ‘rut’ call. These acoustic classifiers achieved very high performance on test data sets and consistently distinguished Chital vocalizations from similar, non-target sounds in raw environmental recordings. This allows Chital calls to be detected in recordings with minimal manual inspection requirements, reducing processing times considerably.

Figure 2. Diel vocal activity patterns of Chital deer. Vocal activity for the chirp call is shown in blue and the rut call is shown in orange. Predicted Detection Probability is used as a proxy for vocal activity intensity

Key Finding 2
We found that Chital deer are most vocally active at night from 10 pm to 4 am (Figure 2). This finding supports that recorders should be scheduled to only record audio at night to detect Chital deer, optimising the efficiency of PAM and reducing data storage requirements.

Figure 3. Seasonal vocal activity patterns of Chital deer. Vocal activity for the chirp call is shown in blue and the rut call is shown in orange. Predicted Detection Probability is used as a proxy for vocal activity intensity.

Key Finding 3
We found that both the rut and chirp call types are detectable from at least April to July, although the chirp call is produced less frequently during the dry season (Figure 3). This supports that PAM is effective at detecting Chital during much of the year, but further assessment is required to ensure Chital are audibly detectable through all seasons. Additionally, we found that rut vocalizations were more frequently detected compared to chirp vocalizations.

Figure 4. Relationship between the distance of a recorder from a Rut call and the probability of detecting the vocalization in forested woodland and open pasture using the developed Rut classifier (See section 3.1). 95% confidence intervals are shaded in grey.

Key Finding 4
We found that Chital vocalizations could be detected from very far away. Using PAM, there is a 50% chance of detecting a Chital rut produced 2 km away in open areas and 900 m away in forested areas (Figure 4). Therefore, a single acoustic recorder can survey approximately 5.6 to 12.5 km¬2 for the presence of Chital deer, far exceeding that of camera traps.

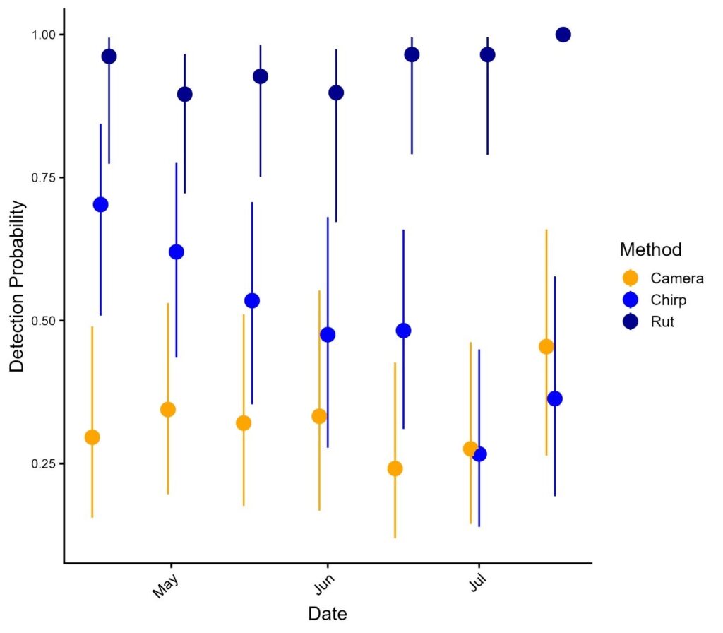
Figure 5. Probability of detecting the presence of Chital deer during a single survey by targeting their rut call with PAM (Dark Blue), targeting their Chirp call with PAM (Light Blue) and using camera traps (Orange).

Key Finding 5
We found PAM could detect Chital deer more effectively than camera traps (Figure 5). By targeting the rut call, there was greater than an 87% chance of detecting Chital during a single acoustic survey from 10 pm to 4 am while less than a 50% chance during a single camera trap survey for a full day.

Milestone 2

In Australia, several deer species have established high-density populations, in some cases severely impacting the nation’s economy, environment, human health, and safety. Over the past two decades, Chital deer (Axis axis) have become particularly problematic in the rangelands of North Queensland, where they compete with livestock for forage, especially during droughts. In response, initiatives such as the National Feral Deer Action Plan aim to prevent further spread and reduce the impacts of these growing deer populations by evaluating and implementing effective management and control frameworks. Achieving this requires tools capable of efficiently detecting invasive deer across vast spatial scales to guide the allocation of limited control resources and assess the effectiveness of control efforts.

Passive acoustic monitoring (PAM) involves recording environmental sounds using field-based acoustic recorders and analysing the audio for calls produced by a target species, indicating its presence at a specific time and location. Similar to camera-trap monitoring, PAM can replace labour-intensive manual observation methods. However, deploying acoustic recorders is generally easier than setting up camera traps, and recent technological advances allow the automated identification of calls within raw audio, greatly increasing PAM’s efficiency. Moreover, because vocalizations can be detected from any direction and over long distances, a single recorder can survey a much larger area than a camera. For these reasons, PAM may offer a more effective tool than camera traps for supporting the management and control of deer in Australia.

To support the management of Chital deer in North Queensland, tools that could improve the efficiency of control efforts need to be evaluated. This study aimed to assess passive acoustic monitoring (PAM) as a method for detecting Chital deer across large spatial scales and to compare its effectiveness with camera-trapping, a widely used contemporary monitoring approach.

We found that PAM greatly outperformed camera-trapping for the rapid detection of Chital across landscapes. Chital vocalizations were extremely loud and could be detected over 3 km away under favourable conditions. Vocal activity was highest at night, particularly between 10 pm and 4 am. A single acoustic survey conducted from 10 pm to 6 am had a 90% probability of detecting Chital presence, far exceeding the detection probability of a 24-hour camera survey. These results demonstrate that acoustic recorders are a highly effective tool for rapid detection, offering a reliable method for early detection surveillance, distribution assessment, and evaluation of eradication efforts.

For effective PAM implementation, we recommend placing acoustic recorders at least 6 km apart to maximize coverage and scheduling recordings from 10 pm to 4 am to reduce data storage requirements while maximizing detectability. The rut vocalization should be prioritized as the primary detection target, with chirp vocalizations used as supplementary cues, since ruts were produced more frequently.

Early detection and monitoring are crucial for mitigating the impacts of invasive Chital deer in Queensland’s rangelands. At high densities, Chital compete with cattle for forage, an issue that intensifies during droughts. Effective monitoring tools are essential to guide and evaluate control efforts, and our findings indicate that PAM has strong potential to enhance the efficiency of Chital deer management, protecting Queensland’s rangeland productivity.